Tabela Salário Professor Universitário Federal 2025

O tema "Tabela Salário Professor Universitário Federal 2025" tem gerado grande expectativa e debate no cenário educacional brasileiro. Com a proximidade do final de 2023, professores e especialistas do setor acompanham de perto os movimentos para a definição dos valores salariais que serão aplicados no próximo ano.

Tabela Salário Professor Universitário Federal 2025

Tabela Salarial 2025_page-0002 - Sindicato APEOC

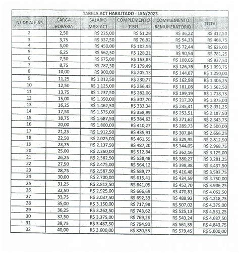
A tabela salarial dos professores universitários federais é regida pelo Plano de Cargos e Salários (PCS), estabelecido pelo próprio governo federal. Cada grupo de professores, desde Assistentes a Professores, também possui faixas de remuneração definidas por prisma de educação, experiência e titulação.

Infelizmente, ainda não há informações oficiais divulgadas pelo governo federal sobre a tabela salarial para 2025. A previsão tradicional é que as negociações com os sindicatos e a aprovação do novo plano ocorram no final do mesmo ano, antes do início do ano letivo.

Diversos fatores podem influenciar os valores da tabela salarial de 2025, tornando a previsão incerta. A situação econômica do país, a inflação e a legislação trabalhista são alguns dos elementos que carregam peso na definição.

Professores e formadores de opinião da educação superior defendem a revalorização salarial, argumentando que os professores universitários federais necessitam de condições dignas de trabalho e que a remuneração atual não reflete a importância do papel desempenhado na sociedade.

Sites de notícias especializadas em educação, portais de sindicatos e comunidades online costumam ser fontes de informação a respeito do tema.

For more information, click the button below.

Tabela Salário Professor Act Sc - RETOEDU

CAMPANHA SALARIAL 2025: CONHEÇA A NOVA TABELA SALARIAL DO MAGISTÉRIO ...

Confira a tabela salarial para 2025 e 2026, fruto do acordo assinado ...

Confira a tabela salarial para 2025 e 2026, fruto do acordo assinado ...

-

Diante da falta de informações concretas, a recomendação é aguardar os pronunciamentos oficiais do governo federal e acompanhar as movimentações dos sindicatos que representam os professores universitários.

Tags

TabelaSalario Minimo TabelaSalario PRF Tipos De Salario TabelaDe Salarios Nova TabelaSalarial TabelaSalarial única Moçambique TabelaTSU Salario TabelaSalario Aprovada TabelaSalarial Professores TabelaDe Salario Da Kibabo Modelo TabelaSalarial TabelaPrecos Tosa PDF TabelaPagamento Salario TabelaDe Escaloes De Salario Salario Mensal TabelaSalarial Carris TabelaPolicial Funca TabelaSalarial No Excel TabelaRemuneratoria Sonae Nova TabelaSalarial Actualizada TabelaVandali TabelaSalarial Cozinheira TabelaSalarial Transtejo TabelaSalarial Modelo Nivel TabelaSalarial Da Webcor TabelaDe Salario TAP Portugal TabelaSalario Presidente Rdtl TabelaSalarial Ceramica Modelo De TabelaSalarial Moz TabelaSalarial Unica Valor ES

Author

Bornda

Impulsionado por uma dedicação genuína à educação e pela vitalidade do cotidiano escolar, venho moldando minha caminhada profissional com o propósito de colaborar ativamente para o desenvolvimento pleno dos estudantes. Uno fundamentos pedagógicos, vivência em sala de aula e uma escuta atenta e empática para criar propostas que respeitam as diferenças e reforçam a identidade singular de cada aluno. Minha formação acadêmica, aliada à prática diária, sustenta a construção de experiências de aprendizagem significativas, ancoradas no diálogo, na sensibilidade e na criatividade - mpe.fortec.org.br.